Đề thi thử Toán THPT 2026 – Sở GDĐT Tuyên Quang là học liệu ôn tập dành cho học sinh lớp 12 trong năm học 2025–2026, được xây dựng nhằm hỗ trợ đánh giá chất lượng và chuẩn bị cho kỳ thi tốt nghiệp THPT một cách bài bản hơn. Thông qua đề thi này, người học có cơ hội rà soát lại toàn bộ các mảng kiến thức quan trọng, từ đó nhận biết phần còn yếu để điều chỉnh lộ trình ôn luyện phù hợp trong giai đoạn nước rút. Với những em đang tìm kiếm đề thi thử tốt nghiệp THPT môn Toán, đây là nguồn tham khảo có ích để luyện các chuyên đề thường gặp như hàm số, mũ và logarit, nguyên hàm – tích phân, số phức, hình học không gian và xác suất. Không chỉ dừng ở mục tiêu củng cố nền tảng, đề còn góp phần rèn tư duy suy luận, kỹ năng đọc dữ kiện và phản xạ xử lý nhanh, vì vậy cũng thích hợp để xem như một dạng đề thi đại học trong quá trình luyện tập nâng cao.
Trên dethitracnghiem.vn, học sinh có thể tiếp cận đề ôn tập chuyển cấp theo hình thức trực tuyến với cách luyện bài thuận tiện và linh hoạt hơn trong mùa ôn thi năm 2026. Website hỗ trợ người học làm lại nhiều lần, xem đáp án ngay sau khi hoàn thành, theo dõi kết quả từng lượt làm bài và tự đánh giá mức độ tiến bộ của bản thân một cách rõ ràng. Đối với môn Toán, hệ thống câu hỏi thường được triển khai theo nhiều cấp độ từ cơ bản đến vận dụng, giúp học sinh vừa củng cố kiến thức cốt lõi vừa làm quen với áp lực thời gian và cấu trúc đề thực tế. Đây là hình thức ôn luyện phù hợp cho học sinh lớp 12 muốn học chủ động, tiết kiệm thời gian và tăng hiệu quả chuẩn bị trước kỳ thi quan trọng sắp tới.
ĐỀ THI
LINK PDF ĐỀ THI [gồm ĐỀ THI, ĐÁP ÁN, LỜI GIẢI]:

PHẦN I. Thí sinh trả lời từ câu 1 đến câu 12. Mỗi câu hỏi thí sinh chỉ chọn một phương án.
Câu 1. Cho hình chóp S.ABC có SA vuông góc với mặt phẳng (ABC), SA = acan(2), AB = acan(2) (xem hình dưới). Góc giữa đường thẳng SB và mặt phẳng (ABC) bằng
A. 45 độ.
B. 30 độ.
C. 90 độ.
D. 60 độ.
Câu 2. Tập xác định của hàm số y = tan x là
A. Tập số thực R hiệu đi tập hợp {0}.
B. Tập số thực R.
C. Tập số thực R hiệu đi tập hợp {pi/2 + kpi | k thuộc Z}.
D. Tập số thực R hiệu đi tập hợp {kpi | k thuộc Z}.
Câu 3. Tiệm cận xiên của đồ thị hàm số y = x + 1 – 1/(x-2) là đường thẳng có phương trình
A. y = x.
B. x = 2.
C. y = 1.
D. y = x + 1.
Câu 4. Cho hai vectơ a và b cùng hướng và khác vectơ không. Phát biểu nào sau đây là đúng?
A. vecto a nhân vecto b = -1.
B. vecto a nhân vecto b = 0.
C. vecto a nhân vecto b = |vecto a| * |vecto b|.
D. vecto a nhân vecto b = -|vecto a| * |vecto b|.
Câu 5. Họ nguyên hàm của hàm số f(x) = 2^x – x là
A. (2^(x+1))/(x+1) – (x^2)/2 + C.
B. (2^x)/(ln 2) – (x^2)/2 + C.
C. x * 2^(x-1) – (x^2)/2 + C.
D. (2^x)/x – (x^2)/2 + C.
Câu 6. Cho hàm số y = f(x) có bảng biến thiên như sau:
(Bảng biến thiên: x từ âm vô cực đến dương vô cực qua các điểm -1, 3. Đạo hàm y’ mang dấu + trên khoảng (âm vô cực; -1), dấu – trên khoảng (-1; 3), dấu + trên khoảng (3; dương vô cực). Tại x = -1 thì y = 6; tại x = 3 thì y = -26).
Hàm số đã cho nghịch biến trên khoảng nào sau đây?
A. (-26; 6).
B. (âm vô cực; -1).
C. (3; dương vô cực).
D. (-1; 2).
Câu 7. Trong không gian với hệ tọa độ Oxyz, cho mặt phẳng (alpha): 3x + 2y – 4z + 1 = 0. Vectơ nào sau đây là một vectơ pháp tuyến của mặt phẳng (alpha)?
A. n3 = (-3; 2; -4).
B. n2 = (3; 2; 4).
C. n1 = (3; -2; -4).
D. n4 = (3; 2; -4).
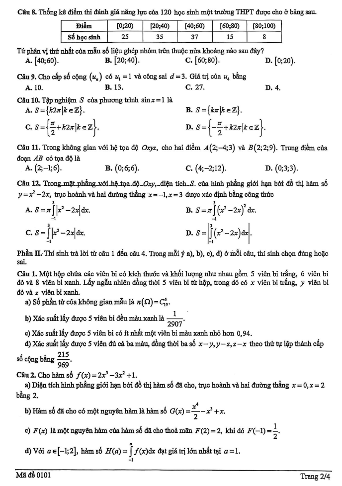
Câu 8. Thống kê điểm thi đánh giá năng lực của 120 học sinh một trường THPT được cho ở bảng sau:
Điểm: [0; 20) | [20; 40) | [40; 60) | [60; 80) | [80; 100)
Số học sinh: 25 | 35 | 37 | 15 | 8
Tứ phân vị thứ nhất của mẫu số liệu ghép nhóm trên thuộc nửa khoảng nào sau đây?
A. [40; 60).
B. [20; 40).
C. [60; 80).
D. [0; 20).
Câu 9. Cho cấp số cộng (un) có u1 = 1 và công sai d = 3. Giá trị của u4 bằng
A. 10.
B. 13.
C. 27.
D. 4.
Câu 10. Tập nghiệm S của phương trình sin x = 1 là
A. S = {k2pi | k thuộc Z}.
B. S = {kpi | k thuộc Z}.
C. S = {pi/2 + k2pi | k thuộc Z}.
D. S = {-pi/2 + k2*pi | k thuộc Z}.
Câu 11. Trong không gian với hệ tọa độ Oxyz, cho hai điểm A(2; -4; 3) và B(2; 2; 9). Trung điểm của đoạn AB có tọa độ là
A. (2; -1; 6).
B. (0; 6; 6).
C. (4; -2; 12).
D. (0; 3; 3).
Câu 12. Trong mặt phẳng với hệ tọa độ Oxy, diện tích S của hình phẳng giới hạn bởi đồ thị hàm số y = x^2 – 2x, trục hoành và hai đường thẳng x = -1, x = 3 được xác định bằng công thức
A. S = pi * tich phan tu -1 den 3 cua tri tuyet doi (x^2 – 2x) dx.
B. S = pi * tich phan tu -1 den 3 cua (x^2 – 2x)^2 dx.
C. S = tich phan tu -1 den 3 cua tri tuyet doi (x^2 – 2x) dx.
D. S = tich phan tu -1 den 3 cua (x^2 – 2x) dx.
PHẦN II. Thí sinh trả lời từ câu 1 đến câu 4. Trong mỗi ý a), b), c), d) ở mỗi câu, thí sinh chọn đúng hoặc sai.
Câu 1. Một hộp chứa các viên bi có kích thước và khối lượng như nhau gồm 5 viên bi trắng, 6 viên bi đỏ và 8 viên bi xanh. Lấy ngẫu nhiên đồng thời 5 viên bi từ hộp, trong đó có x viên bi trắng, y viên bi đỏ và z viên bi xanh.
a) Số phần tử của không gian mẫu là n(Omega) = To hop chap 5 cua 19 phan tu.
b) Xác suất lấy được 5 viên bi đều màu xanh là 8/2907.
c) Xác suất lấy được 5 viên bi có ít nhất một viên bi màu xanh nhỏ hơn 0,94.
d) Xác suất lấy được 5 viên đủ cả ba màu, đồng thời ba số x-y, y-z, z-x theo thứ tự lập thành cấp số cộng bằng 215/969.
Câu 2. Cho hàm số f(x) = 2x^3 – 3x^2 + 1.
a) Diện tích hình phẳng giới hạn bởi đồ thị hàm số đã cho, trục hoành và hai đường thẳng x = 0, x = 2 bằng 2.
b) Hàm số đã cho có một nguyên hàm là hàm số G(x) = (x^4)/2 – x^3 + x.
c) F(x) là một nguyên hàm của hàm số đã cho thỏa mãn F(2) = 2, khi đó F(-1) = 1/2.
d) Với a thuộc đoạn [-1; 2], hàm số H(a) = tich phan tu -1 den a cua f(x) dx đạt giá trị lớn nhất tại a = 1.
Câu 3. Mô hình toán học sau đây được sử dụng trong quan sát chuyển động của một vật. Trong không gian với hệ tọa độ Oxyz có i, j, k lần lượt là các vectơ đơn vị trên các trục Ox, Oy, Oz và độ dài của mỗi vectơ đơn vị đó bằng 1 kilômét. Một tên lửa phóng từ vị trí gốc tọa độ O theo hướng và vận tốc không đổi. Tên lửa bay từ điểm O(0; 0; 0) đến điểm A(140; 60; 6) trong 8 phút.
a) Sau 8 phút kể từ lúc phóng, tên lửa bay được quãng đường 152,4 km (làm tròn kết quả đến hàng phần chục).
b) Sau đúng 4 phút kể từ lúc phóng, độ cao của tên lửa là 3 km.
c) Tọa độ của tên lửa sau 12 phút kể từ lúc phóng là (210; 90; 9).
d) Gọi (P) là mặt phẳng chứa quỹ đạo bay của tên lửa và vuông góc với mặt phẳng (Oxy). Phương trình mặt phẳng (P) là 3x – 7y = 0.
Câu 4. Cho hàm số f(x) = 92 – 20ln(x+1).
a) Tập xác định của hàm số đã cho là D = (-1; dương vô cực).
b) Bất phương trình f(x) >= 36 có đúng 15 nghiệm nguyên.
c) Hàm số đã cho đồng biến trên khoảng (-1; dương vô cực).
d) Giá trị lớn nhất của hàm số g(x) = f(x) + 5x trên đoạn [1; 4] bằng 107 – 40ln 2.
PHẦN III. Thí sinh trả lời từ câu 1 đến câu 6.
Câu 1. Ông An đang xây một ngôi nhà, trong quá trình xây phải đổ bê tông cho một mái vát để lợp ngói. Ông tính toán việc ghép cốt pha đi qua điểm B trên một chân tường và điểm C trên cột góc nhà, đồng thời mặt ghép cốt pha phải đi qua điểm A trên chân tường còn lại cách điểm O ở góc giao hai chân tường một khoảng 5 m, ông cũng tận dụng một chiếc cột có sẵn để chống mặt ghép (xem hình dưới). Biết rằng hai bức tường được xây vuông góc với nhau, mỗi bức tường đều vuông góc với sàn mái nhà, cột có chiều cao 1 m và cách hai bức tường với cùng khoảng cách 1 m (đỉnh cột là điểm M). Diện tích nhỏ nhất của khung ghép cốt pha ABC là bao nhiêu mét vuông (làm tròn kết quả đến hàng phần trăm)?
Câu 2. Cho hình lăng trụ đứng ABC.A’B’C’ có đáy ABC là tam giác vuông tại A, BC = 2*can(3), AB = 3. Khoảng cách giữa đường thẳng AA’ và mặt phẳng (BCC’B’) bằng bao nhiêu?
Câu 3. Để gây quỹ từ thiện, câu lạc bộ thiện nguyện của một trường THPT tổ chức hoạt động bán hàng với hai mặt hàng là trà sữa và bánh ngọt. Câu lạc bộ thiết kế hai thực đơn. Thực đơn 1 có giá 40 nghìn đồng, bao gồm hai ly trà sữa và một chiếc bánh ngọt. Thực đơn 2 có giá 65 nghìn đồng, bao gồm ba ly trà sữa và hai chiếc bánh ngọt. Biết rằng câu lạc bộ chỉ làm được không quá 180 ly trà sữa và 110 chiếc bánh ngọt. Số tiền lớn nhất mà câu lạc bộ có thể nhận được sau khi bán hết hàng bằng bao nhiêu nghìn đồng?
Câu 4. Người ta dự định trồng hoa để trang trí vào phần tô đậm trong hình vẽ dưới đây. Biết rằng phần tô đậm là diện tích hình phẳng giới hạn bởi đồ thị hai hàm số f(x) = ax^3 + bx^2 + cx + 6 và g(x) = -bx^2 + mx + n trong đó a, b, c, m, n thuộc R. Biết đồ thị hai hàm số đã cho cắt nhau tại các điểm có hoành độ lần lượt bằng -2; 1; 3. Chi phí trồng hoa là 150.000 đồng/m2 và đơn vị trên mỗi trục tọa độ là mét. Tổng chi phí để trồng hoa theo dự định là bao nhiêu nghìn đồng (làm tròn kết quả đến hàng đơn vị)?
Câu 5. Một khu chung cư có 120 căn hộ cho thuê. Người quản lí của khu chung cư nhận thấy rằng nếu giá thuê một căn hộ là 7 triệu đồng một tháng thì tất cả các căn hộ đều sẽ có người thuê. Một cuộc khảo sát thị trường cho thấy, trung bình cứ mỗi lần tăng giá thuê một căn hộ mỗi tháng thêm 250 nghìn đồng thì sẽ có thêm ba căn hộ bị bỏ trống. Người quản lí nên đặt giá thuê mỗi căn hộ là bao nhiêu triệu đồng một tháng để doanh thu một tháng là lớn nhất?
Câu 6. Gọi S là tập hợp tất cả các số tự nhiên có 6 chữ số khác nhau được lập từ các chữ số 1, 2, 3, 4, 5, 6. Lấy ngẫu nhiên một số thuộc S, gọi T là xác suất số lấy được là số lẻ đồng thời tổng của ba chữ số đầu lớn hơn tổng của ba chữ số cuối một đơn vị. Giá trị của 230T bằng bao nhiêu?
———— HẾT ————
– Thí sinh không được sử dụng tài liệu;
– Giám thị không giải thích gì thêm.
